翰林刷题,免费考试真题网站!
首页
关于我们
首页
›
分类
› 详情
作者:高老师
时间:2024-07-29
浏览 1
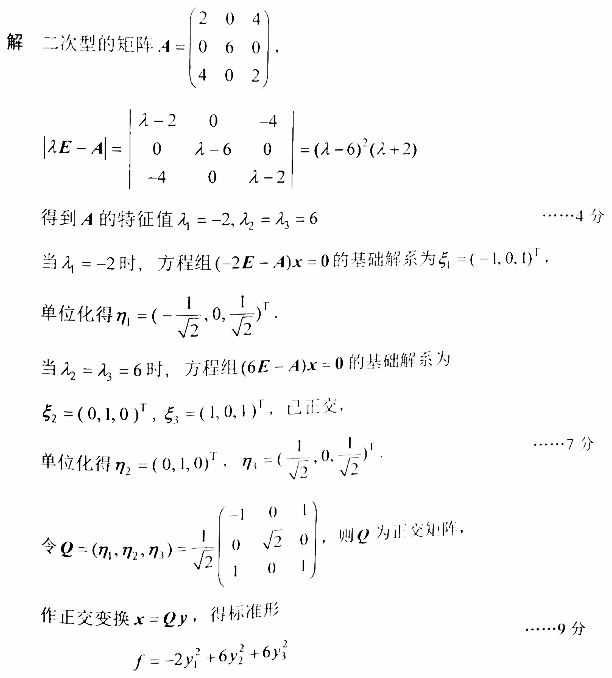
【正确答案】:
📱 扫码体验刷题小程序
扫一扫使用我们的微信小程序
热门题目
下列关于发布证券研究报告的说法中,错误的是( )。
人力资源管理需要处理的管理范畴可以分为()
下列词语中,对《饮酒》(其五)全诗构思起纲领作用的是( )。
在区间[1,e]上使拉格朗日定理成立的中值为ξ=().
在下列投资决策方法中,属于风险投资决策的方法是( )。
简述社会文化历史学派的活动游戏理论的基本观点。
简述世界学前教育发展的主要趋向。
5〜6岁儿童想象发展的特点。
无形资产的摊销金额一般应确认为当期损益,计入 【 】
农村储蓄存款来源于农村居民的货币收入。
系统分析完成后形成
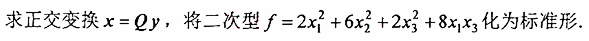
设A、B均为n阶可逆矩阵,且C=,则C-1是( )
➕
➖
📋
⬆️
已复制到剪贴板