翰林刷题,免费考试真题网站!
首页
关于我们
首页
›
分类
› 详情
作者:高老师
时间:2024-07-29
浏览 0
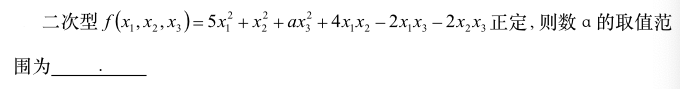
【正确答案】:a大于2
【题目解析】:
📱 扫码体验刷题小程序
扫一扫使用我们的微信小程序
热门题目
刑事诉讼程序包含若干阶段,其开始的标志是
《都江堰》中“他的这点学问,永远水气淋漓”所指的是()
简述员工培训的概念和目的。
计算年末资产负债表中“存货”、“应收账款”项目的数额
课题选择要遵循进取性、需要性、_____、创造性、前沿性和_____等原则。
题干和原文一致的请选择〇,不一致的请选择X,(在正式考试中,需要手写〇或者X)私の弟が病気になったので旅行の予定を変えました。(
冷たい( )
若浏览器没有配置并行TCP连接,则基于HTTP1.0获取该Web页的完整内容(包括引用的图像)所需要的时间(不包括域名解析时间)
Lexical meaning of a word has two concepts: ( ) meaning and asso
Which of the following is NOT true?
跨境交付
被教坊中人称为“乐王”的明代散曲家是
➕
➖
📋
⬆️
已复制到剪贴板