翰林刷题,免费考试真题网站!
首页
关于我们
首页
›
分类
› 详情
作者:高老师
时间:2024-07-29
浏览 1
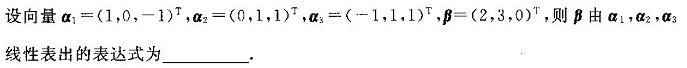
【正确答案】:
📱 扫码体验刷题小程序
扫一扫使用我们的微信小程序
热门题目
科研工作者、技术发明者等属于
公司控制付款的具体措施包括()
人格特性一职业因素匹配理论
结合实例试述幼儿园教师日常教育行为角色期待与实际水准存在差异的一般解决策略。
有的幼儿为了增强在群体中的地位,会说一些极度夸张的事,这是幼儿说说行为中的
我国心理学家()提出了新生婴儿具有两种分辨得清的情绪反映。
如果被审计单位对会计报表具有重大影响的关联方及其交易的披露不符合相关会计准则的要求,注册会计师应当发表()。
贯穿于投资的提出、立项、调查、审批、跟踪和处理过程的是
当无差异曲线与原点成90°凸出时,表示相结合的两种商品是:()
在进行信息资源管理标准化工作时要以系统思想为指导,运用系统的理论和方法,以整体观念、互相联系的观念来分析和解决问题,这是指信息资
一国政府在一定时期内,对某些商品的进口数量或金额加以直接限制,这是指
下列关于护理目标的叙述,正确的是
➕
➖
📋
⬆️
已复制到剪贴板