翰林刷题,免费考试真题网站!
首页
关于我们
首页
›
分类
› 详情
作者:高老师
时间:2024-07-29
浏览 0
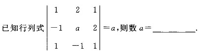
【正确答案】:9
📱 扫码体验刷题小程序
扫一扫使用我们的微信小程序
热门题目
Cosmetic Surgery Surgery that can improve the way a person looks
爱岗敬业、诚实守信、办事公道、服务群众、奉献社会是我国每个从业人员都应奉行的职业道德的基本要求。在我国现实条件下,加强职业道德建
下列不属于典型的绩效考核指标的是( )。
以企业价值最大化作为财务管理的目标具有的优点不包括
《德伯家的苔丝》中的人物有【】
1944年,哪个国家第一个创立了有关技术美学的组织
Complete the following sentence with a (compound) word derived f
已知2阶行列式().
纳税人支付能力的测度可以分为哪几种尺度()
比较自相关存在和消除之后模型预测精度变化的方法有()
戏剧悬念一般是出现得越晚越好。
要写好与表演艺术相结合的台词,还有一种语言手法叫“潜台词”。
➕
➖
📋
⬆️
已复制到剪贴板