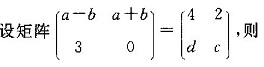
作者:高老师 时间:2024-07-29 浏览 2 A、a=-1,b=3,c=0,d=3B、a=-1,b=3,c=1,d=3C、a=3,b=-1,c=1,d=3D、a=3,b=-1,c=0,d=3【正确答案】:D 📱 扫码体验刷题小程序 扫一扫使用我们的微信小程序