翰林刷题,免费考试真题网站!
首页
关于我们
首页
›
分类
› 详情
作者:高老师
时间:2024-07-29
浏览 1
B、1
C、2
D、3
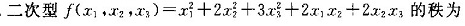
【正确答案】:D
📱 扫码体验刷题小程序
扫一扫使用我们的微信小程序
热门题目
试论结构化系统开发方法的基本思想及开发过程。
试比较传统人事管理与现代人力资源管理的区别。
分析第四段中杨贵妃的心理活动。
一个工作簿中最多可包含_____张工作表。
某企业2016年预计生产产品1000万件,预计全部销售后可实现销售收入5000万元,预计销售费用、财务费用、管理费用、产品生产成
于连·索雷尔
Jane was extremely()and believed the color green brought bad luc
Beijing RisingChina remains primarily a nation of farmers, and t
voluntary offer
下列哪一个不是项目管理的基本目标【】
异步控制方式的优点是
在融资租赁会计中,承租人分摊未确认融资费用时,可以选择的分摊率有()
➕
➖
📋
⬆️
已复制到剪贴板