某被评估企业拥有债券本金100000元,期限为3年,年息8%,按年付息,到期还本。评估时债券购入已满2年,前2年的利息已作为投资

作者:高老师 浏览 1

某被评估企业拥有债券本金100000元,期限为3年,年息8%,按年付息,到期还本。评估时债券购入已满2年,前2年的利息已作为投资收益入账。假定折现率为10%,该被评估债券的评估值最有可能是()
A、90909元
B、98182元
C、108000元
D、112727元
【正确答案】:B
【题目解析】:

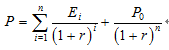
每年(期)支付利息、到期还本的债券评估,采用有限期的收益法,其公式为:式中: -------债券的评估值;-------债券的面值;-------债券在第 年的预期收益(利息);-------适用的折现率;-------债券年限。套入公式可得,该被评估债券的评估值最有可能是98182元。


📱 扫码体验刷题小程序

微信小程序二维码

扫一扫使用我们的微信小程序

热门题目

已复制到剪贴板