翰林刷题,免费考试真题网站!
首页
关于我们
首页
›
分类
› 详情
作者:高老师
时间:2024-08-03
浏览 2
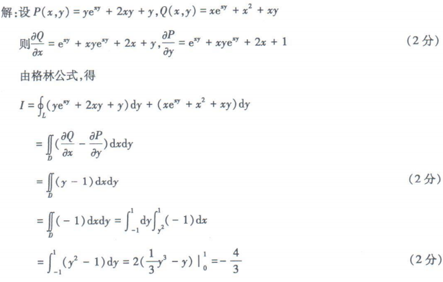
【正确答案】:
📱 扫码体验刷题小程序
扫一扫使用我们的微信小程序
热门题目
简述企业办理担保业务应当关注的风险。
理想信念之所以能够成为一种推动人生实践和社会生活的巨大力量,就是由于它
我国国有企业经营方式按____划分,可分为股份经营、承包经营、租赁经营等形式。 ( )
试比较立法机关违宪审查制与普通法院违宪审查制的区别。
生存工资理论的提出者是
某大型设备制造公司,每年制造并销售6 000 000台大型设备。生产成本为每台400美元,销售价格为每台500美元。公司雇佣工人
在六种营养素中,( )应作为热能的主要来源
20世纪90年代以后,建立的三大经济贸易组织包括 ()
负责对外投资业务人员与会计核算人员相分离不包括()
下列各项中,属于简化分批法特点的是
为了体现护理综述论文的新颖性,国内期刊一般要求参考文献中近3年发表过的文献应达到的比例为
下列不属于小组教学中教师角色功能的是
➕
➖
📋
⬆️
已复制到剪贴板