翰林刷题,免费考试真题网站!
首页
关于我们
首页
›
分类
› 详情
作者:高老师
时间:2024-08-03
浏览 0
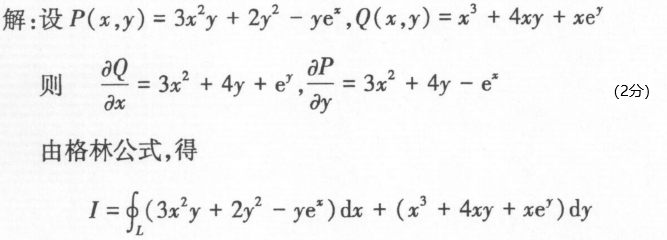
【正确答案】:
📱 扫码体验刷题小程序
扫一扫使用我们的微信小程序
热门题目
用合同形式,受人委托代为收购、销售的经营方式属于
Educating the young① Americans have always had great faith in ed
简述内部控制演变历程。
TCP/IP协议的网络接口层支持多种接口协议,不包括()。
通过财务分析,可以客观、公正地提供审计报告以及其他信息使用者所需的财务信息的是()
设计艺术的分类方法有
在不完全归纳推理中,结论的断定范围和前提的断定范围关系为()
已知所有A都是B,有的B不是A,则A、B两个概念具有( )
引入了自成独立系统的通道结构后,使得计算机系统不仅获得了CPU与外围设备之间的并行工作能力,还使各通道上的外围设备能够_____
发送窗口和接收窗口都大于1的可靠数据传输协议是
原文:世界各地都有人踢足球。译文: There are people playing football all over the
根据我国会计准则规定,下列不属于甲公司关联方的是
➕
➖
📋
⬆️
已复制到剪贴板