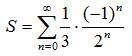
判断无穷级数 是否收敛,如果收敛,是绝对收敛还是条件收敛.

作者:高老师 浏览 0

判断无穷级数 是否收敛,如果收敛,是绝对收敛还是条件收敛.


【正确答案】:原级数绝对收敛
【题目解析】:

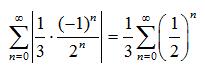
该级数可表达为 ,每一项取绝对值后构成的级数为 .它是公比为 的等比级数,从而收敛.原级数绝对收敛.


📱 扫码体验刷题小程序

微信小程序二维码

扫一扫使用我们的微信小程序

热门题目

已复制到剪贴板