翰林刷题,免费考试真题网站!
首页
关于我们
首页
›
分类
› 详情
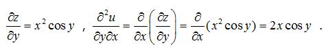
已知函数
作者:高老师
时间:2024-08-03
浏览 1
已知函数
【正确答案】:
【题目解析】:
📱 扫码体验刷题小程序
扫一扫使用我们的微信小程序
热门题目
下列属于欧盟委员会制定的关于隐私权保护的法规的是( )。
AIDA模式中,AIDA是四个英文单词的首字母( )
学前儿童家庭教育指导的全过程由__________、四个过程、两种环境和社会大背景等四个要素构成( )
降生在冬天的新生儿的居室的适宜温度为24~25℃。()
下列是完全竞争市场的假设条件的是
(In the past few days differences between the United States and
Mr. Allworthy is a kind-hearted gentleman in().
以下有关审计方法的表述中,正确的有( )。
简述数据流程图的构成。
对全班学生作文的优点和缺点进行归类分析,属于
研究者对湿扫法与干扫法两种扫床法所致空气中的菌落数的结果进行统计学分析,使用假设检验方法对两组数值进行分析比较,当P值为以下哪些
根据罗依的适应理论,人的内在应对机转包括生理调节和____
➕
➖
📋
⬆️
已复制到剪贴板