翰林刷题,免费考试真题网站!
首页
关于我们
首页
›
分类
› 详情
作者:高老师
时间:2024-08-03
浏览 0
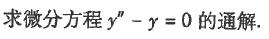
【正确答案】:
【题目解析】:
📱 扫码体验刷题小程序
扫一扫使用我们的微信小程序
热门题目
下列关于期货交易的说法,正确的有( )。Ⅰ.期货合约在交易所内交易,具有公开性Ⅱ.期货合约是标准化合约Ⅲ.期货合约的结算通过专门
( )是指面向少数特定的投资者发行债券,一般以少数关系密切的单位和个人为发行对象,不对所有的投资者公开出售
劳动力需求交叉弹性是指A类劳动力需求量变动的百分比与B类劳动力工资率变动的百分比之比。
在生物一心理一社会模式三维度中,下列哪项不属于生物维度 ( )
TCP/IP协议的体系结构由低到高的四个层次依次是
Why would many cities love to have such “problems” in Paragraph
下列各项中,不属于上市公司必须公开披露信息内容的是
购入和租入固定资产的大修理费用( )。
以下有关涉外仲裁协议的说法中,正确的是( )
复习是对已经学习过的内容的_____,重复性是本质特征。
酷爱苦吟成诗的中唐诗人是
求过点M(2, -3,4)且与平面3x-y+2z+4=0垂直的直线方程.
➕
➖
📋
⬆️
已复制到剪贴板