幂级数
的收敛域是
A、

B、

C、

D、

【正确答案】:B
【题目解析】:
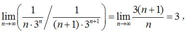
因
故该幂级数的收敛半径为r=3,收敛区间为(-3,3).当x=-3时,原级数变为
由莱布尼兹判别法可知该级数收敛.当x=3时,原级数变为
它是调和级数,发散。故原幂级数的收敛域为
应选择B.
幂级数
的收敛域是




因
故该幂级数的收敛半径为r=3,收敛区间为(-3,3).当x=-3时,原级数变为
由莱布尼兹判别法可知该级数收敛.当x=3时,原级数变为
它是调和级数,发散。故原幂级数的收敛域为
应选择B.
📱 扫码体验刷题小程序
扫一扫使用我们的微信小程序