翰林刷题,免费考试真题网站!
首页
关于我们
首页
›
分类
› 详情
作者:高老师
时间:2024-08-03
浏览 3
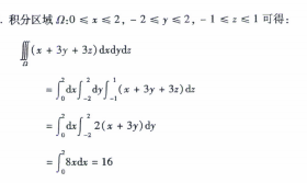
【正确答案】:
📱 扫码体验刷题小程序
扫一扫使用我们的微信小程序
热门题目
鲁迅在《新青年》上发表第一篇白话小说是( )
希克斯集体谈判模型表明,谈判方将接受的工资水平与建立这一工资水平所需要的产业行动时间长度之间存在 关系。
波普艺术家沃霍尔最有特色的经典之作是
幼儿园可以在各个班级的活动室中建立_______、科学桌、科学角,这些都是为儿童提供的非正规性科学活动的环境。
下列有关企业周期的表述,正确的是()
在2013年3月,以下审计主体分别接受委托人的委派进行审计: (1)王东.黎明是XYZ会计师事务所的注册会计师,接受东方股份有限
有一待估宗地A,与待估宗地条件类似的宗地为甲,有关对比资料如下表所示:试评估宗地A的价格。
下列做法中,符合银行存款会计控制制度要求的有( )
把美看作“绝对理念的感性显现”的美学家是
简述社区护士常从哪几个方面寻找社区健康问题?
克氏钉适用于()
下列适合邀请招标情况有
➕
➖
📋
⬆️
已复制到剪贴板