翰林刷题,免费考试真题网站!
首页
关于我们
首页
›
分类
› 详情
作者:高老师
时间:2024-08-03
浏览 1
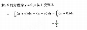
【正确答案】:
📱 扫码体验刷题小程序
扫一扫使用我们的微信小程序
热门题目
在马克思主义指导下,从中国社会主义初级阶段的.国情出发,走自己的路,这体现了
抽象劳动和具体劳动是
多元智力理论的提出者是( )
-个有效三段论,如果其结论是假的,则其大、小前提必定
梦是一种奇怪的心理现象,属于想象的一种,是( )
厂商在长期的扩张或收缩生产时所必须遵循的路线是
设某工厂每年需用某种原料1800吨,该原料单价为20元,不需每日供应,但不得缺货。又设该原料的年保管费用率为平均存货额的10%,
All of the following poems by William Wordsworth are masterpiece
Back from the 3-day conference, John returned only_______his hom
简述系统测试的基本原则和方法。
高行健的《车站》在艺术表现方式上较为典型地运用了【】
机器翻译要把“I love my family”译成“我爱我家”,只需达到()。
➕
➖
📋
⬆️
已复制到剪贴板