翰林刷题,免费考试真题网站!
首页
关于我们
首页
›
分类
› 详情
作者:高老师
时间:2024-08-03
浏览 0
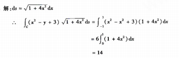
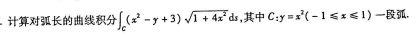
【正确答案】:
📱 扫码体验刷题小程序
扫一扫使用我们的微信小程序
热门题目
从有形资源和无形资源两方面具体阐述H公司拥有的资源,并分别举例说明。
欧美国家科幻小说的黄金时代出现在20世纪
要求打开文件"d:\file.dat",可写入数据,正确的语句是( )
会计师事务所提高人员素质和专业胜任能力的途径包括()
对于当期减少的固定资产,CPA通常不执行的审计程序是( )。
福州话和太原话的差异主要体现在
属于组织文化制度层的是
在SIMD计算机的互连网络中,多采用硬连的______交换方法,网络中的开关单元一般采用______控制策略。
赫尔塔·赫佐格发现,许多妇女收听连续广播剧的动机是
试述现阶段我国高等教育管理体制改革的目标、方针与意义。
根据《劳动合同法》规定,下列事项属于劳动合同约定事项的是()
目前国内关于学校德育基本内容序列安排的意见或模式主要有结构迁移说、阶段连续说和
➕
➖
📋
⬆️
已复制到剪贴板