翰林刷题,免费考试真题网站!
首页
关于我们
首页
›
分类
› 详情
作者:高老师
时间:2024-08-03
浏览 0
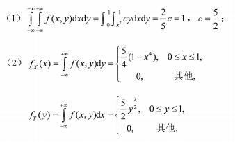
【正确答案】:
📱 扫码体验刷题小程序
扫一扫使用我们的微信小程序
热门题目
下列《长恨歌》诗句中,写玄宗返长安途经马嵬坡的是
求下列方程确定的隐函数y=y(x)的导数:(1)y=cos(x+y);(2)1/x+1/y=2.
下列属于效力未定合同的有()
5~6岁幼儿能参加较复杂的集体游戏和活动,说明幼儿注意的()。
品行教育要求家长应培养孩子的同情心、________、抗挫能力。
新中国成立之后,科幻小说得到了进一步的发展。郑文光是其中最出色的代表之一,以下作品属于郑文光创作的是
escape clauses
E(X+Y)
同时扔3枚均匀硬币,则至多有一枚硬币正面向上的概率为( )。
能满足同一需要的各种产品的生产者互为( )竞争者。
用于购买食品的支出占家庭总收入比例下降,意味着( )
根据责任单位是否可以有效控制,生产费用可以分为固定成本和变动成本。
➕
➖
📋
⬆️
已复制到剪贴板