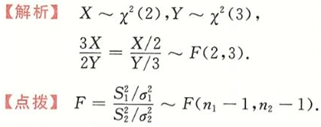
设随机变量X~x2(2),Y~x2(3),且X,Y相互独立,则3X/2Y所服从的分布为( ).

作者:高老师 浏览 0

设随机变量X~x2(2),Y~x2(3),且X,Y相互独立,则3X/2Y所服从的分布为( ).
A、F(2,2)
B、F(2,3)
C、F(3,2)
D、.F(3,3)
【正确答案】:B
【题目解析】:

📱 扫码体验刷题小程序

微信小程序二维码

扫一扫使用我们的微信小程序

热门题目

已复制到剪贴板