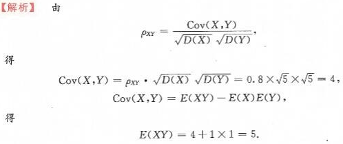
设X,Y为随机变量,且E(X)=E(Y)=1,D(X)=D(Y)=5,ρXY=0.8,则E(XY)=( )

作者:高老师 浏览 0

设X,Y为随机变量,且E(X)=E(Y)=1,D(X)=D(Y)=5,ρXY=0.8,则E(XY)=( )
【正确答案】:

📱 扫码体验刷题小程序

微信小程序二维码

扫一扫使用我们的微信小程序

热门题目

已复制到剪贴板