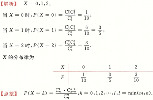
袋中有2个白球3个红球,现从袋中随机地抽取2个球,以X表示取到红球的数,求X的分布律.

作者:高老师 浏览 0

袋中有2个白球3个红球,现从袋中随机地抽取2个球,以X表示取到红球的数,求X的分布律.
【正确答案】:

📱 扫码体验刷题小程序

微信小程序二维码

扫一扫使用我们的微信小程序

热门题目

已复制到剪贴板