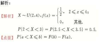
设随机变量在区间[2,4]上服从均匀分布,则P{2

作者:高老师 浏览 0

设随机变量在区间[2,4]上服从均匀分布,则P{2A、P{3.5B、P{1.5C、P{2.5D、P{4.5【正确答案】:C
【题目解析】:

📱 扫码体验刷题小程序

微信小程序二维码

扫一扫使用我们的微信小程序

热门题目

已复制到剪贴板