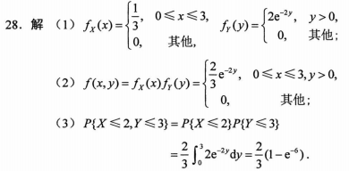
设随机变量X与Y相互独立,X服从区间[0,3]上的均匀分布,Y服从参数为2的指数分布.求: (1) X,Y的概率密度fx(x),

作者:高老师 浏览 0

设随机变量X与Y相互独立,X服从区间[0,3]上的均匀分布,Y服从参数为2的指数分布.
求: (1) X,Y的概率密度fx(x),fY(y);
(2) (X,Y) 的概率密度f(x,y);
(3) P{X≤2,Y≤3}.
【正确答案】:

📱 扫码体验刷题小程序

微信小程序二维码

扫一扫使用我们的微信小程序

热门题目

已复制到剪贴板