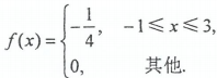
设随机变量X服从区间[-1,3]上的均匀分布,则X的概率密度为

作者:高老师 浏览 0

设随机变量X服从区间[-1,3]上的均匀分布,则X的概率密度为
A、
B、
C、
D、
【正确答案】:A

📱 扫码体验刷题小程序

微信小程序二维码

扫一扫使用我们的微信小程序

热门题目

已复制到剪贴板