翰林刷题,免费考试真题网站!
首页
关于我们
首页
›
分类
› 详情
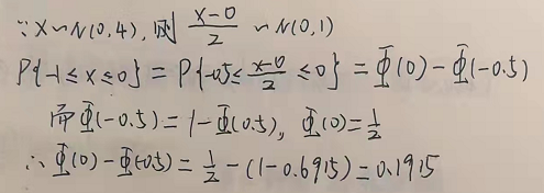
设X~N(0,4),则P{-1
作者:高老师
时间:2024-08-03
浏览 0
设X~N(0,4),则P{-1
【正确答案】:
0.1915;
📱 扫码体验刷题小程序
扫一扫使用我们的微信小程序
热门题目
考虑到全球经济的快速发展,科学技术的日新月异,国际物流也是在动态前进的,之前制订的要求、计划未必跟得上发展的速度,因此在制订国际
社会主义初级阶段的立国之本是()
幼儿有一种特殊的记忆现象,即在幼儿学习某种材料后,相隔一段时间所测量到的保持量,比学习后立即测量到的保持量要高。这种现象称为
enforcement power
关于政府间转移支付,下列说法正确的是()
简述社会制度因素对人际关系的影响。
“断竹,续竹,飞土,逐宍”的论述出自( )
明人把用诗赞韵文体进行叙事的文本统称为()
对高热患者应给予的基本膳食是()
编一个名为countc函数,要求如下:形式参数:array存放字符串的字符型数组名。功能:统计array数组中所存放的字符串中大
争议双方在争议发生前或争议发生后达成协议,自愿将争议交给第三者做出裁决,双方有义务执行的方式被称为
经济信息的公开发布,最早出现在16世纪初的( )
➕
➖
📋
⬆️
已复制到剪贴板