设某射手命中率为0.8,共射击100次,利用中心极限定理,求命中80次至90次的概率.(附:Ф(2.5)=0.9938)

作者:高老师 浏览 3

设某射手命中率为0.8,共射击100次,利用中心极限定理,求命中80次至90次的概率.(附:Ф(2.5)=0.9938)
【正确答案】:

解设X表示射手在100次射击中命中的次数,则X~B(100,0.8),…3分
E(X)=80,D(X)=16,……5分
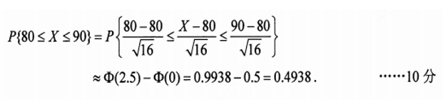
依中心极限定理可得,命中80次至90次的概率为


📱 扫码体验刷题小程序

微信小程序二维码

扫一扫使用我们的微信小程序

热门题目

已复制到剪贴板