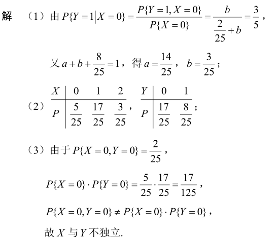
设二维随机变量(X,Y)的分布律为且P{Y=1|X=0}=3/5(1)求常数a,b;(2)求(X,Y)关于X,Y的边缘分布律;(

作者:高老师 浏览 0

设二维随机变量(X,Y)的分布律为

且P{Y=1|X=0}=3/5
(1)求常数a,b;
(2)求(X,Y)关于X,Y的边缘分布律;
(3)判断X与Y的独立性


【正确答案】:


📱 扫码体验刷题小程序

微信小程序二维码

扫一扫使用我们的微信小程序

热门题目

已复制到剪贴板