下面数列中,哪个不是随机变量的分布律

作者:高老师 浏览 1

下面数列中,哪个不是随机变量的分布律
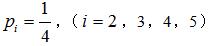
A、
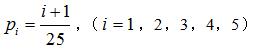
B、
C、
D、
【正确答案】:A
【题目解析】:

A选项不满足分布律的规范性,所以A不是分布律。


📱 扫码体验刷题小程序

微信小程序二维码

扫一扫使用我们的微信小程序

热门题目

已复制到剪贴板