翰林刷题,免费考试真题网站!
首页
关于我们
首页
›
分类
› 详情
作者:高老师
时间:2024-08-03
浏览 1
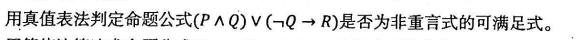
【正确答案】:
📱 扫码体验刷题小程序
扫一扫使用我们的微信小程序
热门题目
“国而忘家,公而忘私”,“先天下之忧而忧,后天下之乐而乐”,“天下兴亡,匹夫有责”等格言警句表达的中华民族的传统美德是( )。
著有《童年的秘密》,认为儿童具有生理和心理的双重“胚胎期”,具有“吸收性的心理”,教育应创设“有准备的环境”,这个幼儿教育家是(
讨论法的操作特点是什么?
既得利益
企业管理当局进行营运能力的分析的目的是()
简述管理层对财务报表责任段应包括的内容。
西方文化对我国近代思想界影响巨大的理论学说有
五四运动后最突出、最有影响和代表性的白话文语法学著作是
美学研究的核心方法应当是
预防尿瘘的措施有
德育管理的约束机制
普通合伙企业
➕
➖
📋
⬆️
已复制到剪贴板