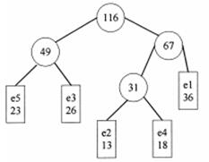
设电文字符集是{el,e2,e3,e4,e5),各字符出现的次数分别为{36,13,26,18,23}。现要为该字符集设计哈夫曼

作者:高老师 浏览 0

设电文字符集是{el,e2,e3,e4,e5),各字符出现的次数分别为{36,13,26,18,23}。现要为该字符集设计哈夫曼编码。请回答下列问题。 (1)给出构造的哈夫曼树。 (2)给出各字符的哈夫曼编码。 (3)计算电文编码总长。
【正确答案】:

(1)哈夫曼树为:(2)各字符的哈夫曼编码为:(3)电文编码总长=36*2+13*3+26*2+18*3+23*2=263


📱 扫码体验刷题小程序

微信小程序二维码

扫一扫使用我们的微信小程序

热门题目

已复制到剪贴板