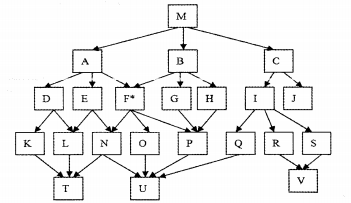
题37图为某一软件系统的模块结构图,已知模块F*有一个判断,它影响了模块I、N、R、U。要求:
(1)给出该系统模块结构图的深度和宽度。
(2)给出图中所有扇入数为2的模块。
(3)给出图中所有扇出数为2的模块。
(4)给出模块F*的作用域包含的模块。
(5)给出模块F*的控制域包含的模块。
【正确答案】:(1)深度为5,宽度为8。
(2)扇人数为2的模块有:F*、L、N、V。
(3)扇出数为2的模块有:C、N。
(4)模块F*的作用域包含的模块有:I、N、R、U.
(5)模块F*的控制域包含的模块有:F*、N、O、P、T、U。