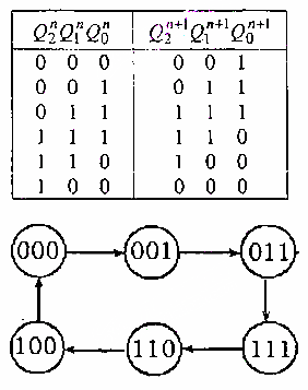
画出题38图所示电路的状态转换图和状态转换真值表(设起始状态Qˇ2Qˇ1Qˇ0=000)。 作者:高老师 时间:2024-08-04 浏览 0 画出题38图所示电路的状态转换图和状态转换真值表(设起始状态Qˇ2Qˇ1Qˇ0=000)。【正确答案】: 📱 扫码体验刷题小程序 扫一扫使用我们的微信小程序