同步时序电路如题38图所示,写出该电路的驱动方程.输出方程和状态方程。

作者:高老师 浏览 0

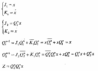
同步时序电路如题38图所示,写出该电路的驱动方程.输出方程和状态方程。


【正确答案】:

📱 扫码体验刷题小程序

微信小程序二维码

扫一扫使用我们的微信小程序

热门题目

已复制到剪贴板