翰林刷题,免费考试真题网站!
首页
关于我们
首页
›
分类
› 详情
作者:高老师
时间:2024-08-04
浏览 1
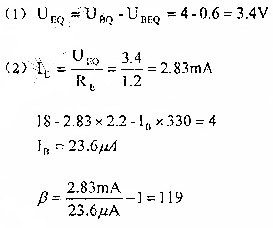
【正确答案】:
📱 扫码体验刷题小程序
扫一扫使用我们的微信小程序
热门题目
生日舞会通常有两种情况,一是____,二是____。
资本主义的基本矛盾是()
简述工资差别表现的类型
关于集体科学教育活动的特点,说法错误的是()
(中译英)优惠税率
如果把const限定符放在*号的右边,使指针本身成为一个const指针,即______。
流水潺潺的英文翻译是( )
采用流动与非流动项目法对外币财务报表进行折算时,下列项目中应按历史汇率折算的是( )
客观存在,并且可以互相区别的事物称为()
投资的处置不包括()
用于购买食品的支出占家庭总收入比例下降,意味着( )
核算脱离定额差异,是为了()
➕
➖
📋
⬆️
已复制到剪贴板