翰林刷题,免费考试真题网站!
首页
关于我们
首页
›
分类
› 详情
作者:高老师
时间:2024-08-04
浏览 0
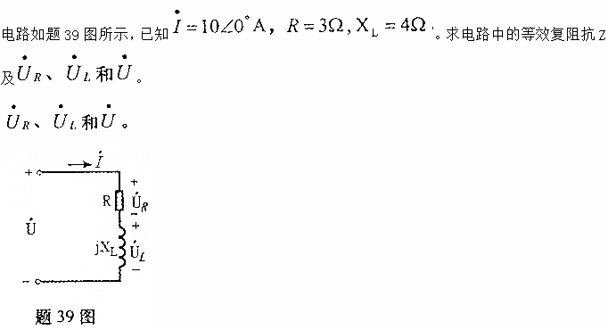
【正确答案】:
📱 扫码体验刷题小程序
扫一扫使用我们的微信小程序
热门题目
太平天国农民战争爆发的标志是
卖方和买方共同组成了(16)。卖方可以决定商品的价格或者(17),但是不能同时决定两者。买方将根据愿意支付的(18)决定购买数量
clean bill of lading
根据竞争程度的高低,市场结构可分为完全竞争、完全垄断、垄断竞争和 四种类型。
某射手对目标独立的进行射击,每次命中率均为5,则在3次射击中至少命中2次的概率为____
求解矩阵的特征值和特征向量。
对于齐次线性方程组而言,它的解的情况是()
贸易厂商在日常交易中所达成的合同价格指()
简述孟浩然山水诗的风格特点。
属于晏几道《临江仙·梦后楼台高锁》中词句的是( )
____能力是阅读的核心。
➕
➖
📋
⬆️
已复制到剪贴板