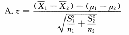
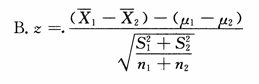
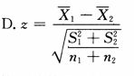
两个独立总体大样本平均数差异显著性检验中,如果两个总体的方差未知,则标准分数z的计算公式为

作者:高老师 浏览 1

两个独立总体大样本平均数差异显著性检验中,如果两个总体的方差未知,则标准分数z的计算公式为
A、
B、
C、
D、
【正确答案】:A

📱 扫码体验刷题小程序

微信小程序二维码

扫一扫使用我们的微信小程序

热门题目

已复制到剪贴板