假设某岗位培训结业考试的测验信度系数rxx=0.55,标准差S=9.5,试求该结业考试的测量标准误。某考生成绩78分,其真分数值

作者:高老师 浏览 0

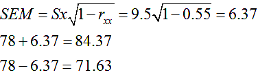
假设某岗位培训结业考试的测验信度系数rxx=0.55,标准差S=9.5,试求该结业考试的测量标准误。某考生成绩78分,其真分数值的区间是多少?(保留两位小数)
【正确答案】:

真分数值的区间是71.63~84.37

📱 扫码体验刷题小程序

微信小程序二维码

扫一扫使用我们的微信小程序

热门题目

已复制到剪贴板