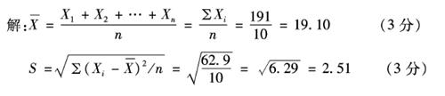
在某个班级中随机抽取10名被试者进行错觉实验,结果数据如下:

作者:高老师 浏览 1

在某个班级中随机抽取10名被试者进行错觉实验,结果数据如下:


【正确答案】:

📱 扫码体验刷题小程序

微信小程序二维码

扫一扫使用我们的微信小程序

热门题目

已复制到剪贴板