有22名专家参与“某地区大学生英语四级通过率达到60%的年份”的德尔菲预测调查,调查的第二轮结果为:4,4,4,5,5,5,5,

作者:高老师 浏览 3

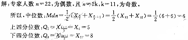
有22名专家参与“某地区大学生英语四级通过率达到60%的年份”的德尔菲预测调查,调查的第二轮结果为:4,4,4,5,5,5,5,6,6,6,6,6,7,7,7,8,8,8,99,10,10。试求它们的中位数和上、下四分位数。
【正确答案】:

📱 扫码体验刷题小程序

微信小程序二维码

扫一扫使用我们的微信小程序

热门题目

已复制到剪贴板