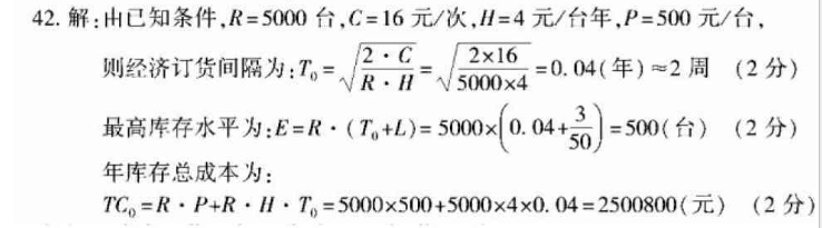
某超市每年销售某种电器5000台,该电器的单价为500元,每次的订购成本为16元,每件商品每年的库存持有成本为4元。如果前置时间

作者:高老师 浏览 1

某超市每年销售某种电器5000台,该电器的单价为500元,每次的订购成本为16元,每件商品每年的库存持有成本为4元。如果前置时间为3周,求经济订货间隔、最高库存水平和库存总成本。(一年按50周计算)
【正确答案】:

📱 扫码体验刷题小程序

微信小程序二维码

扫一扫使用我们的微信小程序

热门题目

已复制到剪贴板