翰林刷题,免费考试真题网站!
首页
关于我们
首页
›
分类
› 详情
作者:高老师
时间:2024-07-20
浏览 0
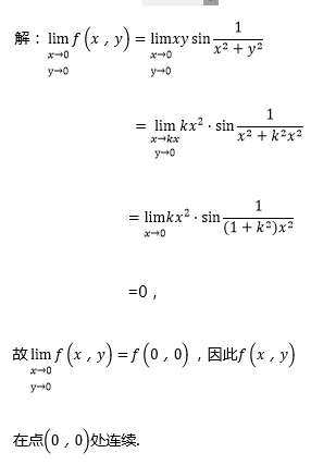
【正确答案】:
📱 扫码体验刷题小程序
扫一扫使用我们的微信小程序
热门题目
阅读图文材料,完成下列要求。赵州桥又称安济桥(见图8),始建于隋朝,距今已有1400多年的历史,是世界上现存最早和保存最完整的石
下列属于客户服务质量管理原则的是
Bicycle CommutingI may not be a movie star, best-selling author
商品文化的主要内容是商品的_____。
论述学前儿童科学教育结果的含义。
Identify the author and the title of the work from which the abo
When I was 11. I lived in a small town in Kentucky. Everyone the
下列关于重要性表述,正确的是( )。
简述政府预算的组织体系及职责。
货币资金业务会计制度设计的具体目标有哪些?
简述企业经营战略的作用。
➕
➖
📋
⬆️
已复制到剪贴板