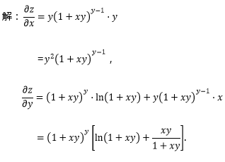
求下列函数的一阶偏导数:z=(1+xy)y

作者:高老师 浏览 0

求下列函数的一阶偏导数:z=(1+xy)y
【正确答案】:

📱 扫码体验刷题小程序

微信小程序二维码

扫一扫使用我们的微信小程序

热门题目

已复制到剪贴板