翰林刷题,免费考试真题网站!
首页
关于我们
首页
›
分类
› 详情
,
作者:高老师
时间:2024-07-20
浏览 0
,
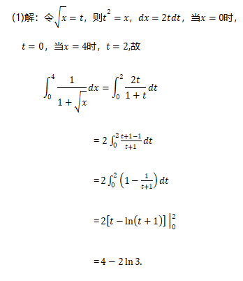
【正确答案】:
,
📱 扫码体验刷题小程序
扫一扫使用我们的微信小程序
热门题目
下列选项中,需求曲线富有弹性的是
朱熹提出,15岁以前的儿童,主要就儿童日常生活接触到的“()”去教他们。
某企业对一座建筑物进行改扩建,该建筑物的原价为100万元,已计提折旧60万元,改扩 建过程中发生支出30万元,取得变价收人5万元
We lodge a claim with you______ the short-weight.
名词解释:网络图的作业时间
________语句表示回滚。
The word “BBC” is a(n)( )
下列函数中可作为随机变量分布函数的是
公共物品具有的特征包括
分析王蒙小说《蝴蝶》艺术手法上的创新。
诗歌《雨巷》中,“撑着油纸伞”、“彷徨”在“雨巷”中的姑娘被比喻成
夏、商、周三代用于训诫勉励的一种广告是
➕
➖
📋
⬆️
已复制到剪贴板