翰林刷题,免费考试真题网站!
首页
关于我们
首页
›
分类
› 详情
,,,,,
作者:高老师
时间:2024-07-20
浏览 1
,
,
,
,
,
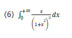
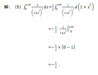
【正确答案】:
,
,
,
,
,
📱 扫码体验刷题小程序
扫一扫使用我们的微信小程序
热门题目
下列属于我国《反垄断法》所禁止的滥用市场支配地位的行为的有 ()
解释市场相互间的区别
如果某商品需求收入弹性小于0,则该商品属于
幼儿园教育工作评价实行
期望风险越高,所需要的审计证据数量
下列账户中,期末一般没有余额的是 ( )
营运资本指标的优点在于能够直接反映流动资产保障流动负债偿还后能够剩余的金额,是反映企业短期偿债能力的相对量指标。
复出口
在跨国公司的市场竞争中,挑战型企业的基本战略目标是 ( )
关汉卿《救风尘》塑造的女性形象是( )
西昆体的艺术特征是( )
曹操《短歌行》:“契阔谈宴,心念旧恩”中“契阔”的含义是
➕
➖
📋
⬆️
已复制到剪贴板