翰林刷题,免费考试真题网站!
首页
关于我们
首页
›
分类
› 详情
,,,
作者:高老师
时间:2024-07-20
浏览 1
,
,
,
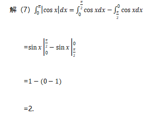
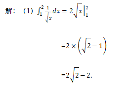
【正确答案】:
,
,
,
📱 扫码体验刷题小程序
扫一扫使用我们的微信小程序
热门题目
合格境内机构投资者,是指经一国金融管理当局审批通过、获准直接投资境外股票或者债券市场的国内机构投资者,在一定规定下通过( )形式
企业内部信息质量要求不包括
∫[x2/√(1-x6)]dx=()
社会主义的根本任务是( )
英国古典经济学的创始人是( )
对于增值税一般纳税人而言,下列税金中,不影响企业净利润的是()
(2011.07.1)单项选择题:表示单独概念的有()
简述比例税率的优缺点。
希望在“专家群”中通过匿名方式取得比较一致的意见而采取的定性预测方法属于
在触发器的创建中,毎个表每个事件每次只允许一个触发器,因此每个表最多支持的触发器是()
There are many problems 1______ space travel. The first and grea
下列贸易术语中属船边交货的是 ( )
➕
➖
📋
⬆️
已复制到剪贴板