翰林刷题,免费考试真题网站!
首页
关于我们
首页
›
分类
› 详情
,,,,
作者:高老师
时间:2024-07-20
浏览 0
,
,
,
,
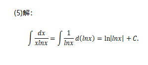
【正确答案】:
,
,
,
,
📱 扫码体验刷题小程序
扫一扫使用我们的微信小程序
热门题目
下列选项中,按照库存物品所处的生产加工状态分类的有
Sports① what fun it is to jump into a pool or go swimming in a r
下列不属于免除生产者产品责任情形的是
我国宪法以较多的条文规定了包括人身自由、人格尊严等在内的广泛的基本权利和自由,并予以切实的保障,这体现了我国宪法( )
印度古代文学史上最杰出的诗人和剧作家是( )
广告时机
简述制订实施方案的意义和具体任务。
For China's newly-rising enterprises,【profits】 are up throughout
()is a record of Shelley's intense consciousness of his own lone
某企业期初应收账款余额150万元,期末应收账款余额250万元,本期产品销售收入为1200万元,本期产品销售成本为1000万元,则
身份证号有18位,其中第1~6位表示行政区域、第7~14位表示出生日期、第15~17位是顺序号、第18位是校验位,则身份证号的代
制造费用的工时标准,通常采用人工小时或【】
➕
➖
📋
⬆️
已复制到剪贴板