翰林刷题,免费考试真题网站!
首页
关于我们
首页
›
分类
› 详情
作者:高老师
时间:2024-07-20
浏览 0
A、
B、
C、
D、
【正确答案】:B
【题目解析】:
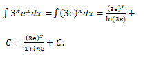
本题主要考查的知识点是基本积分公式.
📱 扫码体验刷题小程序
扫一扫使用我们的微信小程序
热门题目
以“灯光”为线索,简要说明文章的内容脉络。
函数在x =1处的导数为( )
职业生涯设计的目的有()
下列哪一项不属于幼儿的自我意识教育()
慧明公司系增值税一般纳税人,增值税率为17%,库存材料采用实际成本核算,该公司2018年年度内发生如下有关经济业务:(1)销售产
解释销售量利润差异的含义。
什么是运营信息?
计算机的存储器采用分级方式是为了()
In Mark Twain's Adventures of Huckleberry Finn 9 Huck writes a l
设随机变量X的概率密度为f(x)=ce-x2(一∞<x<+∞),则常数c=()
主管信息系统
S不具有的功能是
➕
➖
📋
⬆️
已复制到剪贴板