作者:高老师 浏览 0


A、
B、
C、
D、
【正确答案】:D
【题目解析】:

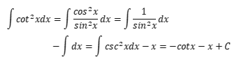
本题主要考查的知识点是不定积分的性质及基本积分公式.


📱 扫码体验刷题小程序

微信小程序二维码

扫一扫使用我们的微信小程序

热门题目

已复制到剪贴板