∫sin 2/3 xdx=

作者:高老师 浏览 2

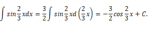
∫sin 2/3 xdx=
A、2/3 cos 2/3 x+C
B、3/2 cos 2/3 x+C
C、
D、
【正确答案】:D
【题目解析】:

本题主要考查的知识点是不定积分的第一换元积分法.


📱 扫码体验刷题小程序

微信小程序二维码

扫一扫使用我们的微信小程序

热门题目

已复制到剪贴板