翰林刷题,免费考试真题网站!
首页
关于我们
首页
›
分类
› 详情
作者:高老师
时间:2024-07-20
浏览 0
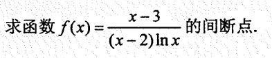
【正确答案】:
📱 扫码体验刷题小程序
扫一扫使用我们的微信小程序
热门题目
在客户关系管理中,销售管理可分为
名词解释:重置成本法
中国特色社会主义共同理想与共产主义远大理想有着内在的联系。它们是
下列《我与地坛》所描写的景象中,促使作者“窥看自己的心魂”的是
成本分享计划属于哪种团队薪酬表现形式( )。
甲公司2010年1月1日以450000元购入A公司股票,占A公司普通股的30%,并对A公司有重大影响。投资时A公司的可辨认净资产
简述南非的学前教育机构有哪些。
人体感觉器官包括()
关于涉外企业已经发生的外汇损失或已经实现的外汇盈利,以下说法正确的是()
With the development of the modern novel and the common acceptan
The most important representative work by Jonathan Swift is ().
Against the traditional practice of ( ), CCELD created an extra
➕
➖
📋
⬆️
已复制到剪贴板