翰林刷题,免费考试真题网站!
首页
关于我们
首页
›
分类
› 详情
作者:高老师
时间:2024-07-20
浏览 0
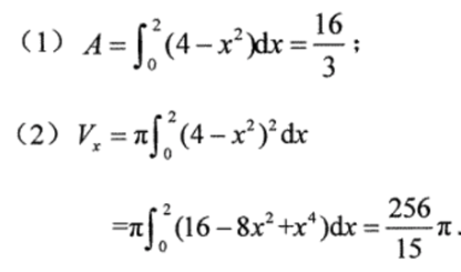
【正确答案】:
📱 扫码体验刷题小程序
扫一扫使用我们的微信小程序
热门题目
在当前社会主义初级阶段,我国人民的历史使命和和共同理想是( )
描述信息系统逻辑模型的主要工具是
外部招聘的局限性,主要表现在()
阅读《哦,香雪》中的一段文字,回答问题:七点钟,火车喘息着向台儿沟滑过来,接着一阵空哐乱响,车身震颤一下,才停住不动了。姑娘们心
《咬文嚼字》的作者认为,“咬文嚼字”表面上是斟酌文字,实际上是( )
日本雇佣保险制的基本结构分为()
简述促进就业与再就业的宏观政策。
科学研究的重要特点是
某事业单位20XX年7月发生如下经济业务,请根据各项经济业务编制会计分录。(1)收到独立核算的附属单位按规定比例上缴的利润分成款
简述规定品质机动幅度的方法。
试论述战略性贸易政策。
清代骈文创作成就最高的是()
➕
➖
📋
⬆️
已复制到剪贴板